最新进返京政策怎样?去哪儿核酸检测?节后返京攻略请收好
中国互联网联合辟谣平台
2022-02-07 10:15:59
108.7万
一眨眼,愉快的新年假期已经结束。节后回京要核酸检测吗?需要隔离吗?有哪些进返京政策?
进返京政策须知
进返京人员抵京后72小时内需进行一次核酸检测。根据要求,在须持48小时内核酸检测阴性证明和北京健康宝绿码的基础上,自2022年1月22日0时起至3月底,进返京人员在抵京后72小时内需进行一次核酸检测,未核酸检测者健康宝将会弹窗提示,影响出行。
具体如下:
1. 14天内有1例以上(含1例)本土新冠病毒感染者所在县(市、区、旗)旅居史人员:严格限制进(返)京。
2. 14天内有陆路边境口岸所在县(市、区、旗)旅居史人员:非必须不进(返)京。
3. 除以上人员外的进(返)京人员:48小时内核酸检测阴性证明+“北京健康宝”绿码。
环京地区通勤人员:首次进(返)京须持48小时内核酸检测阴性证明,此后每次进(返)京持14天内核酸检测阴性证明。
注意:天津方向通勤人员每次进返京须持48小时内核酸检测阴性证明,待疫情平稳后将及时调整。
进京前:
48小时内核酸检测阴性证明+“北京健康宝”绿码。
抵京后:
72小时内需进行一次核酸检测(自2022年1月22日零时起至3月底)
注意:抵京后72小时内离京的,不需要进行核酸检测。
*具体是否需要隔离,请咨询所前往的社区、单位或010-12345
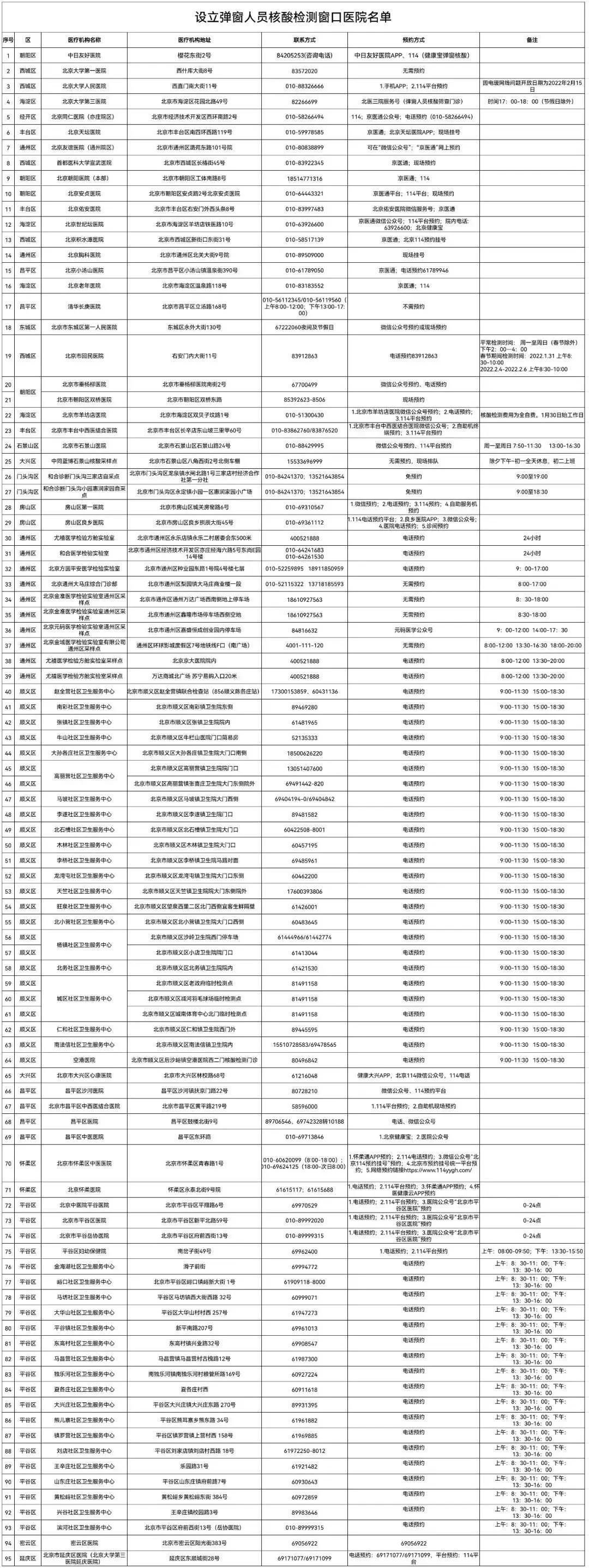
北京设立95个健康宝弹窗人员核酸检测窗口
(点击放大看)↓↓↓
交通出行早知道
出门上班,记清限行尾号
2月7日是春节假期后首个工作日,加之4、9限行,早高峰交通压力较为突出。京承高速、京藏高速、机场高速、莲石路、京通快速路等高速路、快速路进京方向交通流量大,部分路段、桥区节点可能出现车行缓慢情况。
工作日重叠冬奥比赛日,部分道路要限行
2月7日也是冬奥比赛日与工作日的首个重合日
,多场比赛将在国家游泳中心、首都体育馆、首钢滑雪大跳台、五棵松体育中心、国家速滑馆、国家体育馆进行,届时周边道路将适时采取临时交通管理措施。
奥林匹克专用车道也将迎来使用高峰
,北五环箭亭桥至奥林西桥双向,北二环西段外环方向,阜石路进京方向,机场高速进京方向,在设置奥林匹克专用车道的道路中,交通压力较为突出,早间会更加明显。2月7日上午、下午及晚间,部分道路将适时采取临时交通管理措施。
交管部门提示:倡导各单位弹性工作制
春节假期结束,2月7日起进入赛事高峰期,为保障冬奥交通顺畅有序,倡导各单位积极落实好弹性工作制,建议市民关注赛事安排,减少出行、绿色出行,外出驾车时礼让冬奥保障车辆,充分展示热情好客、文明有礼的东道主风采!
来源:北京日报客户端(记者 胡德成)
监制:荆克
监审:董晓
编辑:周文婧
校对:王蓓蓓